Постановление Правительства Ярославской области от 02.03.2016 № 213-п
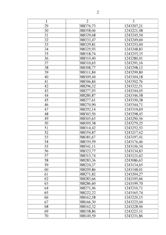
"Об утверждении границы охранной зоны объекта газораспределительной сети "ГРП – с/з "Победа" (с. Поводнево), назначение: газопровод, протяженность 2226 м, инв. № 50046, лит. А, адрес объекта: Ярославская область, Мышкинский р-н, Поводневский сельский округ, с. Поводнево, д. б/н"
"Об утверждении границы охранной зоны объекта газораспределительной сети "ГРП – с/з "Победа" (с. Поводнево), назначение: газопровод, протяженность 2226 м, инв. № 50046, лит. А, адрес объекта: Ярославская область, Мышкинский р-н, Поводневский сельский округ, с. Поводнево, д. б/н"
Номер опубликования: 7600201603030020
Дата опубликования:
03.03.2016
