Постановление Правительства Ярославской области от 02.03.2016 № 215-п
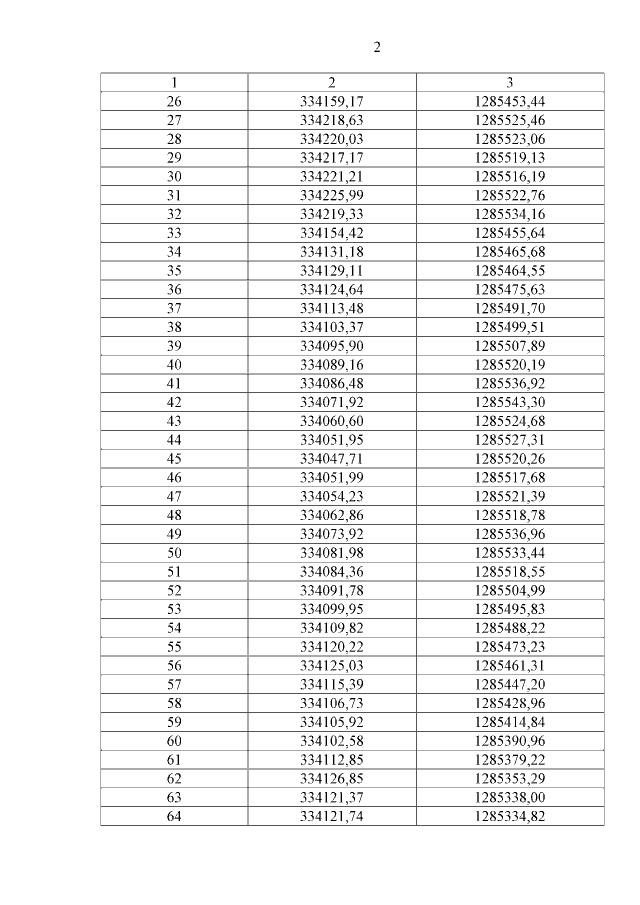
"Об утверждении границы охранной зоны объекта газораспределительной сети "Газопровод низкого давления, назначение: нежилое, протяженность 602,0 м, инв. № 000186, адрес (местонахождение) объекта: Ярославская область, Борисоглебский р-н, р.п. Борисоглебский, от д. 41 по ул. Пушкинской до домов 61, 63, 65, 67 по ул. Белевцева, до д. 50 по ул. Профессиональной"
"Об утверждении границы охранной зоны объекта газораспределительной сети "Газопровод низкого давления, назначение: нежилое, протяженность 602,0 м, инв. № 000186, адрес (местонахождение) объекта: Ярославская область, Борисоглебский р-н, р.п. Борисоглебский, от д. 41 по ул. Пушкинской до домов 61, 63, 65, 67 по ул. Белевцева, до д. 50 по ул. Профессиональной"
Номер опубликования: 7600201603030018
Дата опубликования:
03.03.2016
