Официальное опубликование правовых актов
ОФИЦИАЛЬНОЕ ОПУБЛИКОВАНИЕ
Постановление Правительства Ярославской области от 02.03.2016 № 216-п
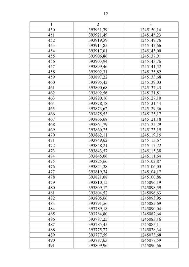
"Об утверждении границы охранной зоны объекта газораспределительной сети "Газораспределительные сети высокого/низкого давления г. Мышкин, ул. Молодежная, М. Горького, Загородная, назначение: газопровод, протяженность 4332,3 м, инв. № 18"
Номер опубликования: 7600201603030015
Дата опубликования: 03.03.2016
Страница №14 из 17:
Увеличить