Официальное опубликование правовых актов
ОФИЦИАЛЬНОЕ ОПУБЛИКОВАНИЕ
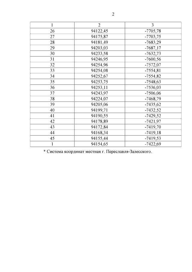
Постановление Правительства Ярославской области от 29.02.2016 № 196-п
"Об утверждении границы охранной зоны объекта газораспределительной сети "Сооружение, назначение: газопровод высокого давления с установкой ГРШП, протяженность 2001 м, адрес (местонахождение) объекта: Ярославская область, Переславский р-н, Троицкий сельский округ, с. Борисоглебская Слобода"
Номер опубликования: 7600201603030004
Дата опубликования: 03.03.2016
Страница №4 из 5:
Увеличить