Постановление Правительства Ярославской области от 31.12.2015 № 1452-п
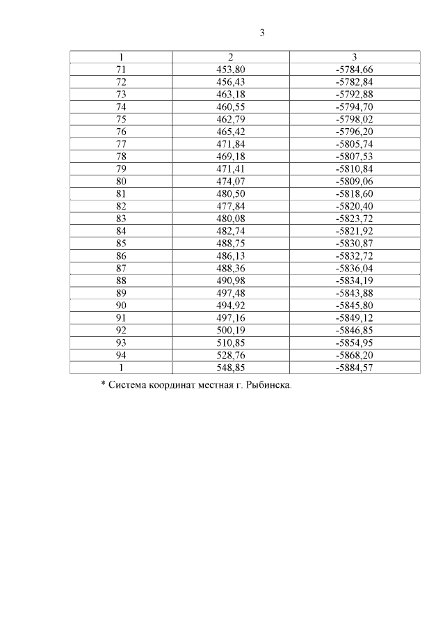
"Об утверждении границы охранной зоны объекта газораспределительной сети "Газопровод низкого давления от д. 28 к д. 20, 22, 24 по ул. Ворошилова, газопроводы-вводы к д. 20, 22, 24 по ул. Ворошилова, назначение: газопровод, протяженность 450,32 м, инв. № 00898, лит. Д"
"Об утверждении границы охранной зоны объекта газораспределительной сети "Газопровод низкого давления от д. 28 к д. 20, 22, 24 по ул. Ворошилова, газопроводы-вводы к д. 20, 22, 24 по ул. Ворошилова, назначение: газопровод, протяженность 450,32 м, инв. № 00898, лит. Д"
Номер опубликования: 7600201601040024
Дата опубликования:
04.01.2016
