Официальное опубликование правовых актов
ОФИЦИАЛЬНОЕ ОПУБЛИКОВАНИЕ
Постановление Правительства Ярославской области от 30.11.2015 № 1298-п
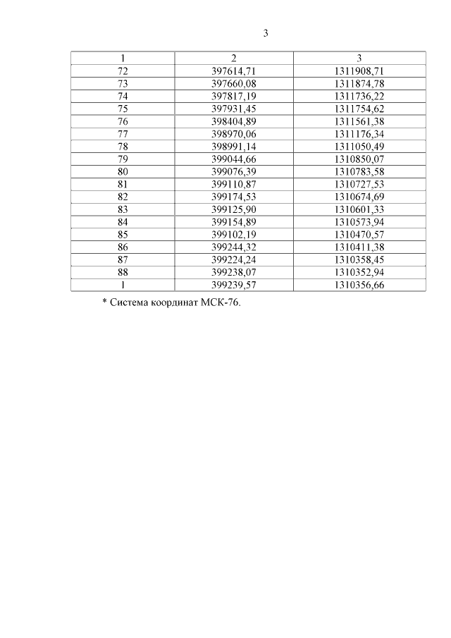
"Об утверждении границы охранной зоны объекта газораспределительной сети "Газопровод высокого давления от ГРС "Менделеево" до ГРП № 4 (Тутаевский район, Фоминская с/т, Промзона, строение № 2) и здания котельной ЗАО "Волна-2"
Номер опубликования: 7600201512020004
Дата опубликования: 02.12.2015
Страница №5 из 5:
Увеличить