Официальное опубликование правовых актов
ОФИЦИАЛЬНОЕ ОПУБЛИКОВАНИЕ
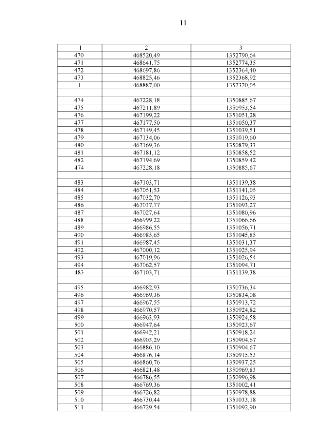
Постановление Правительства Ярославской области от 17.11.2015 № 1243-п
"Об изменении границ памятника природы, утверждении Положения о памятнике природы "Зелёная зона рабочего посёлка Пречистое" и внесении изменений в постановление Правительства области от 01.07.2010 № 460-п"
Номер опубликования: 7600201511190007
Дата опубликования: 19.11.2015
Страница №21 из 35:
Увеличить