Официальное опубликование правовых актов
ОФИЦИАЛЬНОЕ ОПУБЛИКОВАНИЕ
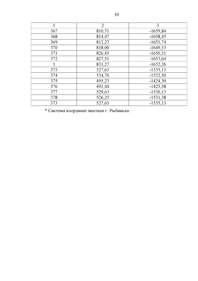
Постановление Правительства Ярославской области от 17.09.2015 № 1012-п
"Об утверждении границы охранной зоны объекта газораспределительной сети "Газопровод низкого давления, назначение: газопровод, протяженность 2643,24 м, инв. № 01846, лит. А"
Номер опубликования: 7600201509180003
Дата опубликования: 18.09.2015
Страница №12 из 12:
Увеличить