Официальное опубликование правовых актов
ОФИЦИАЛЬНОЕ ОПУБЛИКОВАНИЕ
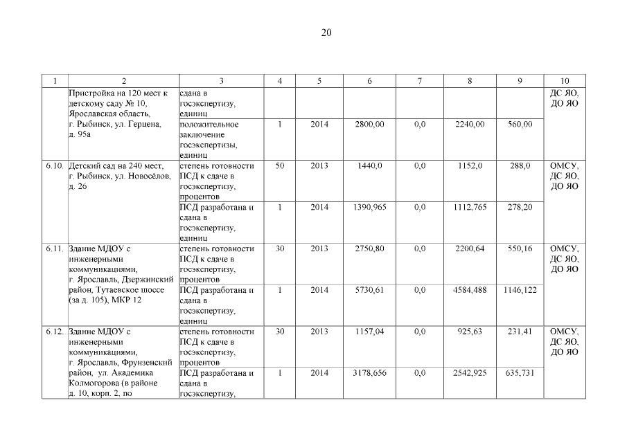
Постановление Правительства Ярославской области от 31.08.2015 № 955-п
"О внесении изменений в постановление Правительства области от 17.02.2011 № 90-п"
Номер опубликования: 7600201509020016
Дата опубликования: 02.09.2015
Страница №21 из 74:
Увеличить