Официальное опубликование правовых актов
ОФИЦИАЛЬНОЕ ОПУБЛИКОВАНИЕ
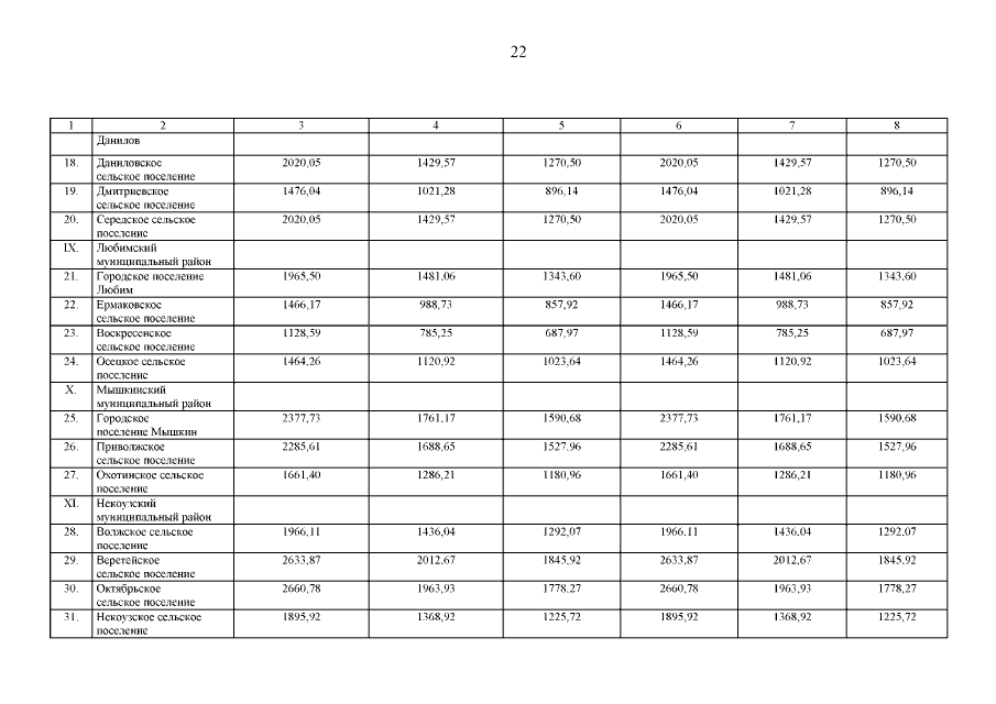
Постановление Правительства Ярославской области от 09.06.2015 № 630-п
"О внесении изменений в постановление Правительства области от 28.12.2009 № 1283-п"
Номер опубликования: 7600201506110004
Дата опубликования: 11.06.2015
Страница №23 из 27:
Увеличить