Официальное опубликование правовых актов
ОФИЦИАЛЬНОЕ ОПУБЛИКОВАНИЕ
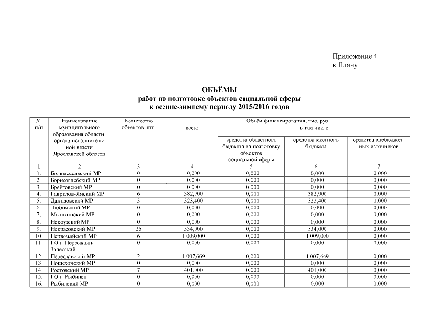
Постановление Правительства Ярославской области от 28.05.2015 № 553-п
"О подготовке объектов жилищно-коммунального хозяйства и социальной сферы Ярославской области к осенне-зимнему периоду 2015/2016 годов"
Номер опубликования: 7600201506010002
Дата опубликования: 01.06.2015
Страница №14 из 20:
Увеличить