Постановление Правительства Ярославской области от 12.05.2015 № 514-п
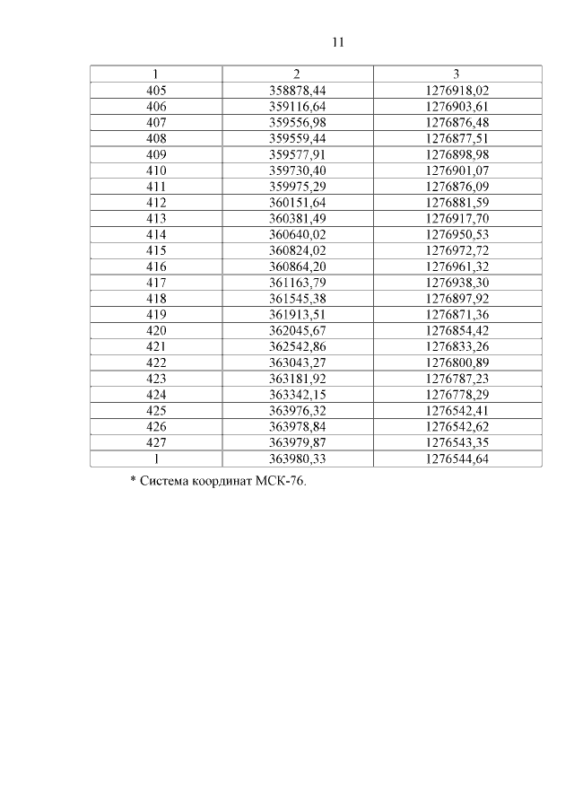
"Об утверждении границы охранной зоны объекта газораспределительной сети "Газопровод межпоселковый ГРС Борисоглебская - д. Варусово - с. Вощажниково - д. Юркино - д. Погорелка - в/ч 9804 с отводом к с. Неверково Борисоглебского района Ярославской области, назначение: газопровод, протяженность 35058 м, инв. № 182, лит. А, адрес (местоположение) объекта: Ярославская область, Борисоглебский р-н"
"Об утверждении границы охранной зоны объекта газораспределительной сети "Газопровод межпоселковый ГРС Борисоглебская - д. Варусово - с. Вощажниково - д. Юркино - д. Погорелка - в/ч 9804 с отводом к с. Неверково Борисоглебского района Ярославской области, назначение: газопровод, протяженность 35058 м, инв. № 182, лит. А, адрес (местоположение) объекта: Ярославская область, Борисоглебский р-н"
Номер опубликования: 7600201505140004
Дата опубликования:
14.05.2015
