Официальное опубликование правовых актов
ОФИЦИАЛЬНОЕ ОПУБЛИКОВАНИЕ
Постановление Правительства Ярославской области от 05.05.2015 № 477-п
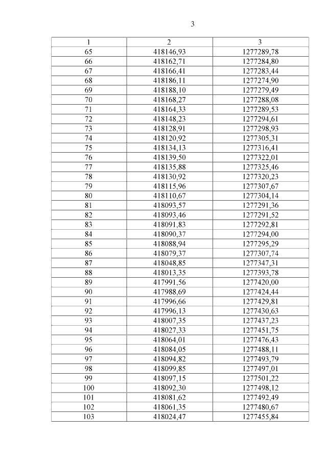
"Об утверждении границы охранной зоны объекта газораспределительной сети "Распределительный газопровод низкого давления для газоснабжения индивидуальных жилых домов пос. Ермаково Волжского сельского поселения Рыбинского муниципального района, назначение: иное сооружение, протяженность 2745 м"
Номер опубликования: 7600201505070027
Дата опубликования: 07.05.2015
Страница №5 из 9:
Увеличить