Постановление Правительства Ярославской области от 15.04.2015 № 407-п
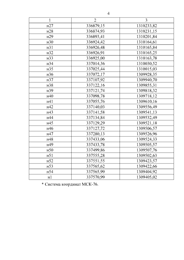
"Об утверждении границы охранной зоны объекта газораспределительной сети "Сооружение, назначение: газопровод высокого давления I и II категории к блокам № 3, № 4, протяженностью 1460 м, расположенное по адресу: Ярославская область, Ростовский район, раб. пос. Семибратово"
"Об утверждении границы охранной зоны объекта газораспределительной сети "Сооружение, назначение: газопровод высокого давления I и II категории к блокам № 3, № 4, протяженностью 1460 м, расположенное по адресу: Ярославская область, Ростовский район, раб. пос. Семибратово"
Номер опубликования: 7600201504160017
Дата опубликования:
16.04.2015
