Официальное опубликование правовых актов
ОФИЦИАЛЬНОЕ ОПУБЛИКОВАНИЕ
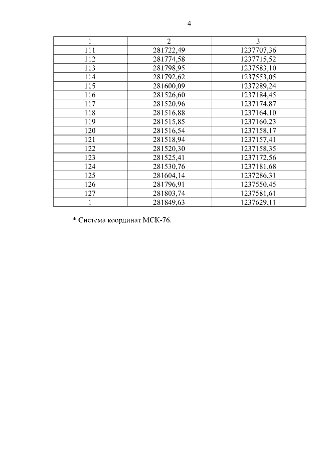
Постановление Правительства Ярославской области от 24.03.2015 № 324-п
"Об утверждении границы охранной зоны объекта газораспределительной сети "Газопровод межпоселковый и распределительный к базам отдыха ООО "Инвест Кино" и ООО "Коста" Переславского МР Ярославской области, назначение: нежилое, транспортировка газа, протяженность 2084 м, инв. № нет, адрес (местоположение) объекта: Ярославская область, Переславский р-н"
Номер опубликования: 7600201503270023
Дата опубликования: 27.03.2015
Страница №6 из 6:
Увеличить