Официальное опубликование правовых актов
ОФИЦИАЛЬНОЕ ОПУБЛИКОВАНИЕ
Постановление Правительства Ярославской области от 26.02.2015 № 168-п
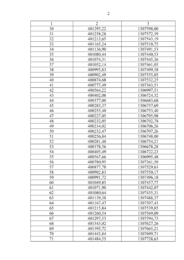
"Об утверждении границы охранной зоны объекта газораспределительной сети "Подземный газопровод высокого давления от газораспределительной станции до газораспределительного пункта – 1"
Номер опубликования: 7600201502270016
Дата опубликования: 27.02.2015
Страница №4 из 5:
Увеличить