Официальное опубликование правовых актов
ОФИЦИАЛЬНОЕ ОПУБЛИКОВАНИЕ
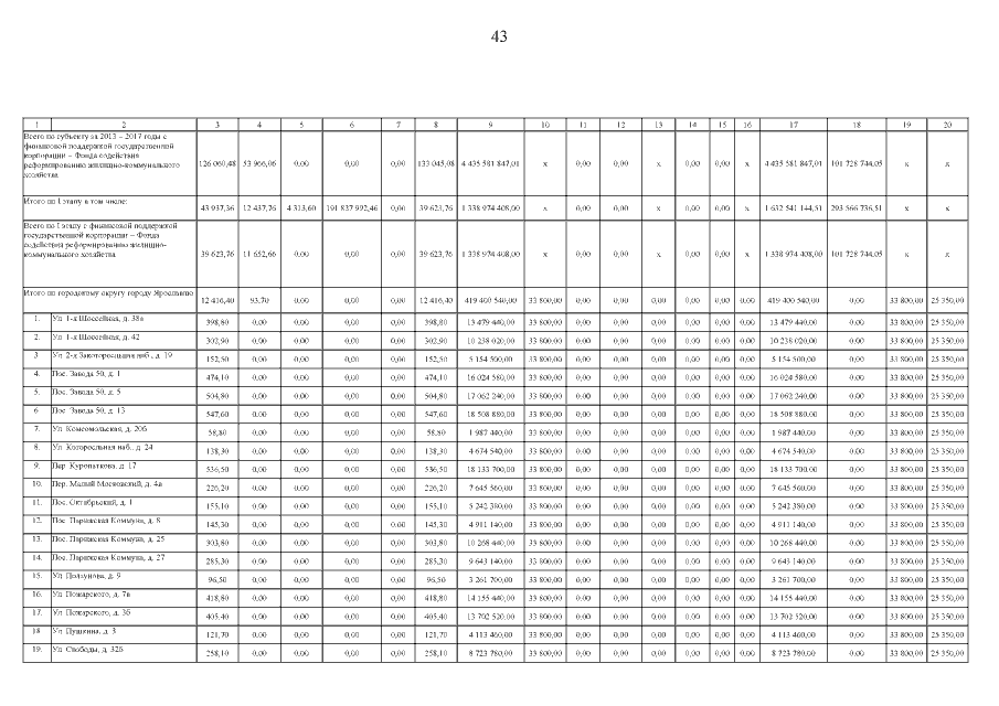
Постановление Правительства Ярославской области от 23.01.2015 № 54-п
"О внесении изменений в постановление Правительства области от 22.04.2013 № 432-п"
Номер опубликования: 7600201501260001
Дата опубликования: 26.01.2015
Страница №44 из 105:
Увеличить