Официальное опубликование правовых актов
ОФИЦИАЛЬНОЕ ОПУБЛИКОВАНИЕ
Постановление Правительства Ярославской области от 26.12.2014 № 1392-п
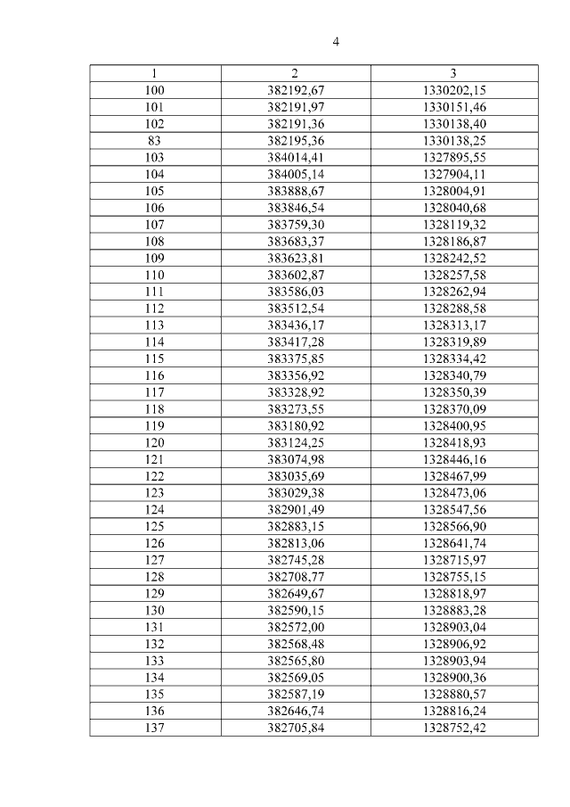
"Об утверждении границ охранной зоны объекта газораспределительной сети "Газорегуляторный пункт № 54 общей площадью 33,8 кв. м с сетями газопроводов высокого давления протяженностью 18776,6 п. м., инв. № 2415"
Номер опубликования: 7600201412310045
Дата опубликования: 31.12.2014
Страница №26 из 27:
Увеличить