Официальное опубликование правовых актов
ОФИЦИАЛЬНОЕ ОПУБЛИКОВАНИЕ
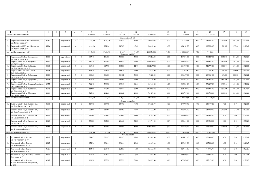
Постановление Правительства Ярославской области от 22.12.2014 № 1347-п
"О внесении изменений в постановление Правительства области от 28.03.2014 № 275-п"
Номер опубликования: 7600201412240008
Дата опубликования: 24.12.2014
Страница №28 из 38:
Увеличить