Официальное опубликование правовых актов
ОФИЦИАЛЬНОЕ ОПУБЛИКОВАНИЕ
Приказ Региональной службы по тарифам и ценообразованию Забайкальского края от 23.01.2026 № 7-НПА
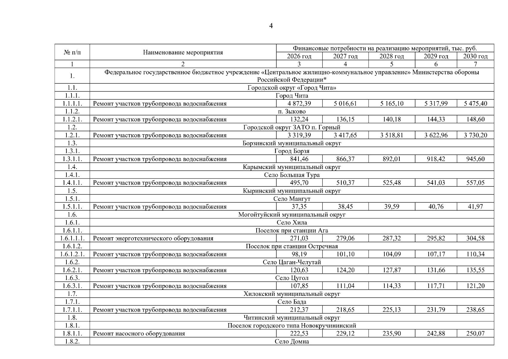
"О внесении изменений в приказ Региональной службы по тарифам и ценообразованию Забайкальского края от 19 декабря 2025 года № 686-НПА "Об установлении долгосрочных тарифов на питьевую воду (питьевое водоснабжение), техническую воду, горячую воду в закрытой системе горячего водоснабжения, водоотведение и транспортировку сточных вод для Федерального государственного бюджетного учреждения "Центральное жилищно-коммунальное управление" Министерства обороны Российской Федерации, осуществляющего на территории Забайкальского края деятельность в сфере водоснабжения и водоотведения, на 2026-2030 годы"
(Зарегистрирован 23.01.2026 № 22-75-2026)
Номер опубликования: 7501202601270008
Дата опубликования: 27.01.2026
Страница №4 из 32:
Увеличить