Официальное опубликование правовых актов
ОФИЦИАЛЬНОЕ ОПУБЛИКОВАНИЕ
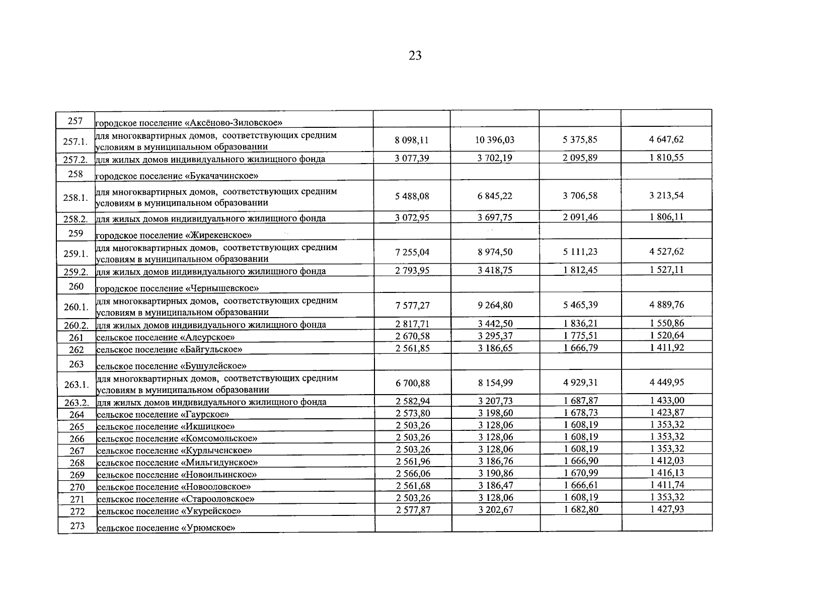
Приказ Министерства жилищно-коммунального хозяйства, энергетики, цифровизации и связи Забайкальского края от 24.12.2025 № 9-НПА
"О региональном стандарте стоимости жилищно-коммунальных услуг"
(Зарегистрирован 24.12.2025 № 983-75-2025)
Номер опубликования: 7501202512290002
Дата опубликования: 29.12.2025
Страница №23 из 55:
Увеличить