Официальное опубликование правовых актов
ОФИЦИАЛЬНОЕ ОПУБЛИКОВАНИЕ
Приказ Министерства природных ресурсов Забайкальского края от 30.10.2025 № 46-н/п
"О внесении изменений в лесохозяйственный регламент Балейского лесничества, утвержденный приказом Министерства природных ресурсов Забайкальского края от 29 декабря 2018 года № 93-н/п (в редакции приказа Министерства природных ресурсов Забайкальского края от 11 ноября 2020 года № 64-н/п, приказа Министерства природных ресурсов Забайкальского края от 31 октября 2022 года № 78-н/п, приказа Министерства природных ресурсов Забайкальского края от 11 декабря 2024 года № 68-н/п)"
(Зарегистрирован 30.10.2025 № 699-75-2025)
Номер опубликования: 7501202511070012
Дата опубликования: 07.11.2025
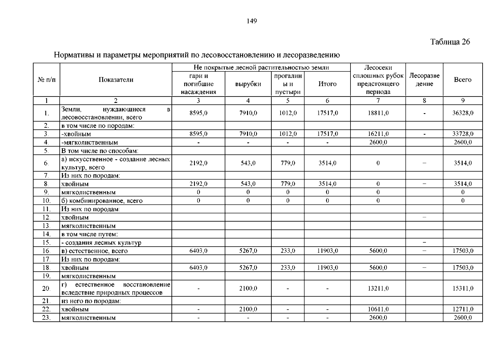
Страница №149 из 169:
Увеличить