Приказ Министерства труда и социальной защиты населения Забайкальского края от 06.02.2025 № 137
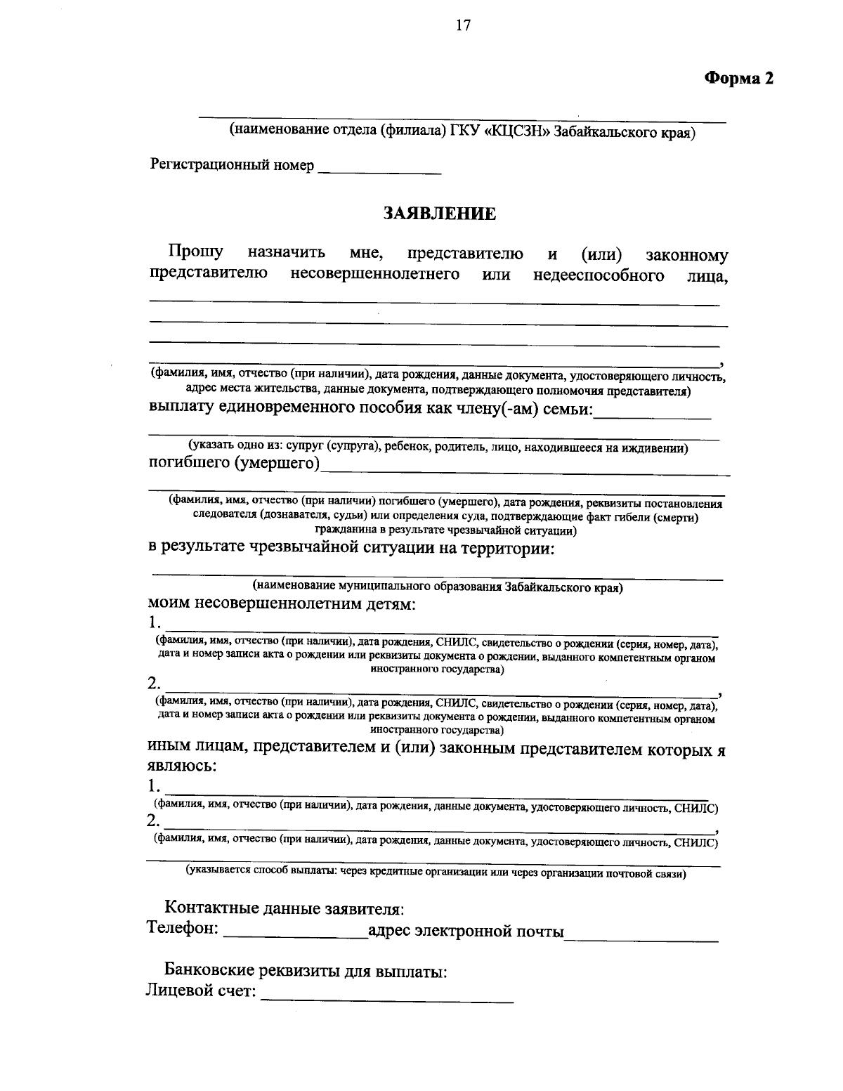
"Об утверждении форм заявлений о назначении единовременной материальной помощи, финансовой помощи в связи с утратой имущества первой необходимости, выплаты единовременных пособий гражданам Российской Федерации, иностранным гражданам и лицам без гражданства, проживающим на территории Забайкальского края, в случаях ликвидации чрезвычайных ситуаций природного и техногенного характера"
(Зарегистрирован 06.02.2025 № 63-75-2025)
"Об утверждении форм заявлений о назначении единовременной материальной помощи, финансовой помощи в связи с утратой имущества первой необходимости, выплаты единовременных пособий гражданам Российской Федерации, иностранным гражданам и лицам без гражданства, проживающим на территории Забайкальского края, в случаях ликвидации чрезвычайных ситуаций природного и техногенного характера"
(Зарегистрирован 06.02.2025 № 63-75-2025)
Номер опубликования: 7501202502100001
Дата опубликования:
10.02.2025
