Приказ Региональной службы по тарифам и ценообразованию Забайкальского края от 15.11.2024 № 453-НПА
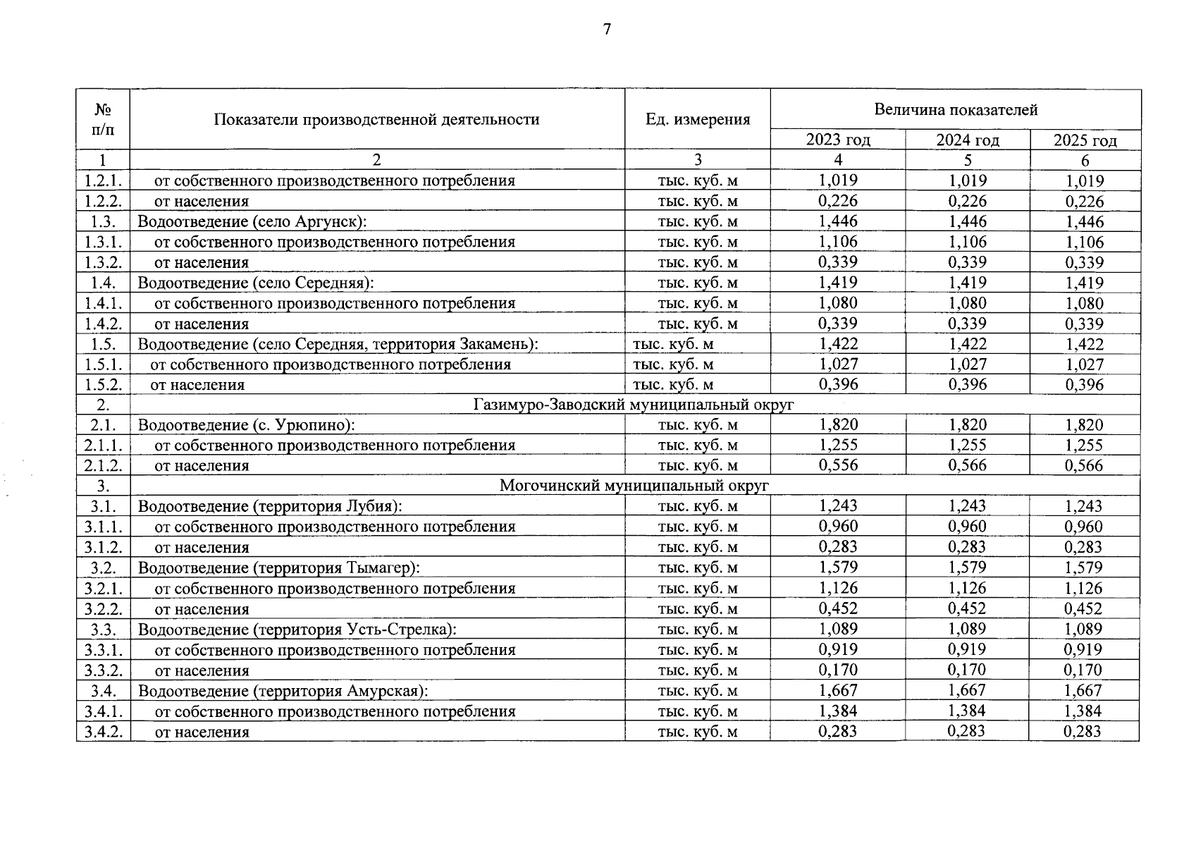
"О корректировке долгосрочных тарифов на питьевую воду (питьевое водоснабжение) и водоотведение для ПУ ФСБ России по Забайкальскому краю потребителям на территории Газимуро-Заводского муниципального округа, Могочинского муниципального округа, Нерчинско-Заводского муниципального округа Забайкальского края деятельность в сфере водоснабжения и водоотведения"
(Зарегистрирован 21.11.2024 № 1036-75-2024)
"О корректировке долгосрочных тарифов на питьевую воду (питьевое водоснабжение) и водоотведение для ПУ ФСБ России по Забайкальскому краю потребителям на территории Газимуро-Заводского муниципального округа, Могочинского муниципального округа, Нерчинско-Заводского муниципального округа Забайкальского края деятельность в сфере водоснабжения и водоотведения"
(Зарегистрирован 21.11.2024 № 1036-75-2024)
Номер опубликования: 7501202411290034
Дата опубликования:
29.11.2024
