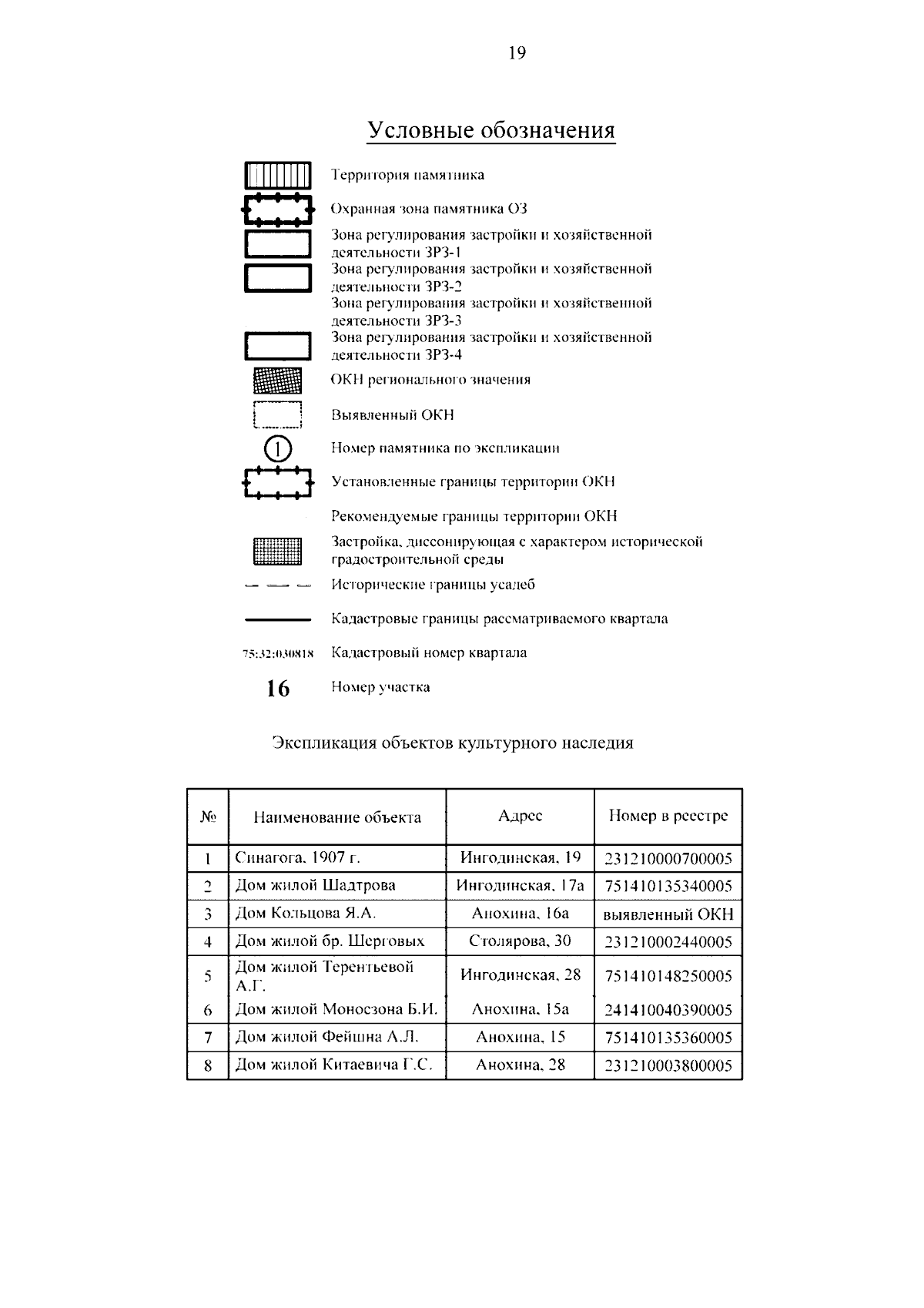
Приказ Государственной службы по охране объектов культурного наследия Забайкальского края от 18.10.2024 № 12-НПА-ЗО
"Об установлении границы зон охраны объекта культурного наследия регионального значения "Синагога,1907г.", расположенного по адресу: Забайкальский край, г. Чита, ул. Ингодинская, 19, и об утверждении требований к градостроительным регламентам в границах территорий данных зон"
(Зарегистрирован 23.10.2024 № 750-75-2024)
"Об установлении границы зон охраны объекта культурного наследия регионального значения "Синагога,1907г.", расположенного по адресу: Забайкальский край, г. Чита, ул. Ингодинская, 19, и об утверждении требований к градостроительным регламентам в границах территорий данных зон"
(Зарегистрирован 23.10.2024 № 750-75-2024)
Номер опубликования: 7501202410230001
Дата опубликования:
23.10.2024
