Официальное опубликование правовых актов
ОФИЦИАЛЬНОЕ ОПУБЛИКОВАНИЕ
Приказ Региональной службы по тарифам и ценообразованию Забайкальского края от 05.12.2023 № 432-НПА
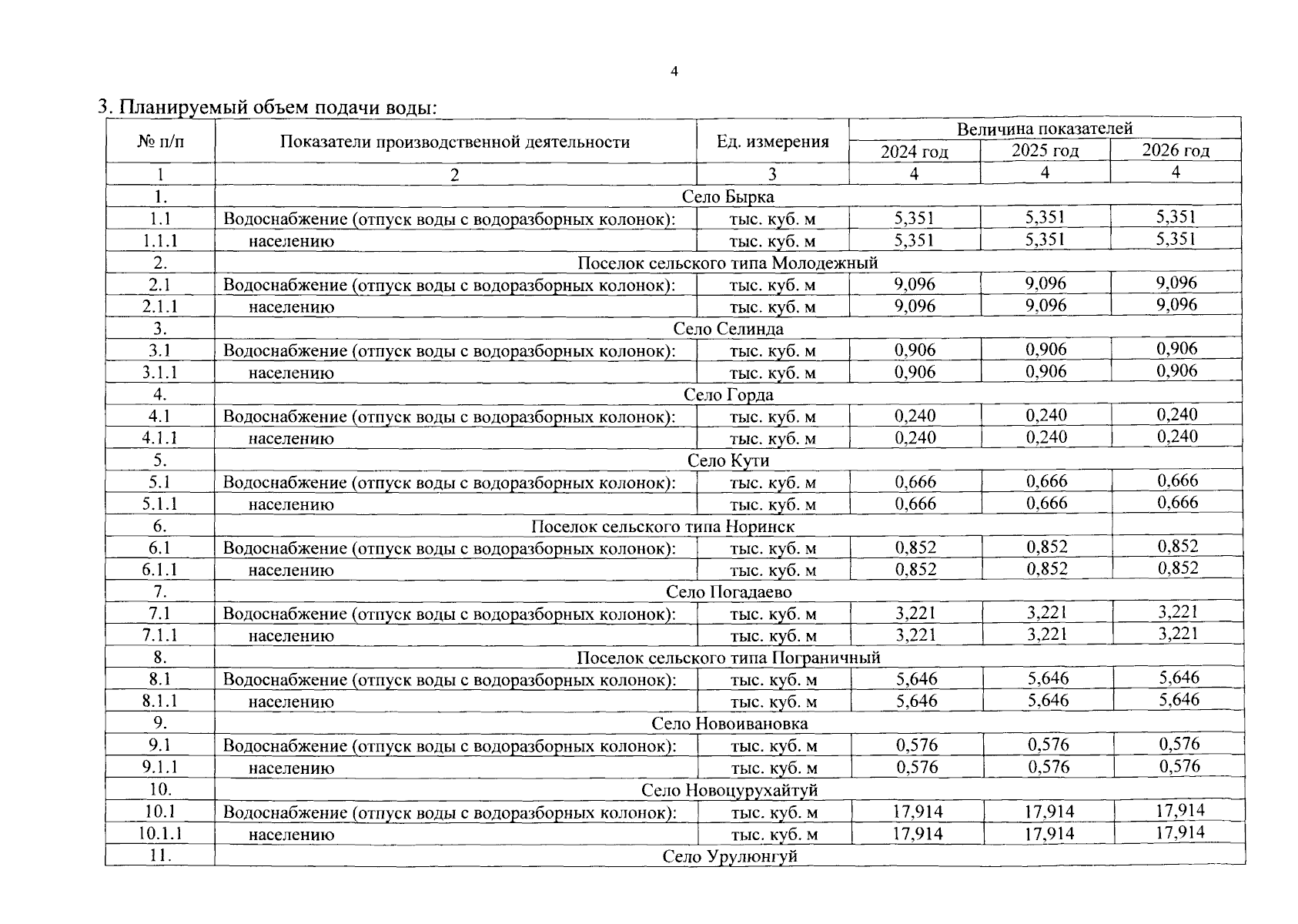
"Об утверждении производственной программы и установлении тарифов на питьевую воду (питьевое водоснабжение) для МБУ "Служба МТО", осуществляющего на территории Приаргунского муниципального округа Забайкальского края деятельность в сфере водоснабжения, на 2024 - 2026 годы"
(Зарегистрирован 12.12.2023 № 959-75-2023)
Номер опубликования: 7501202312180012
Дата опубликования: 18.12.2023
Страница №4 из 8:
Увеличить