Официальное опубликование правовых актов
ОФИЦИАЛЬНОЕ ОПУБЛИКОВАНИЕ
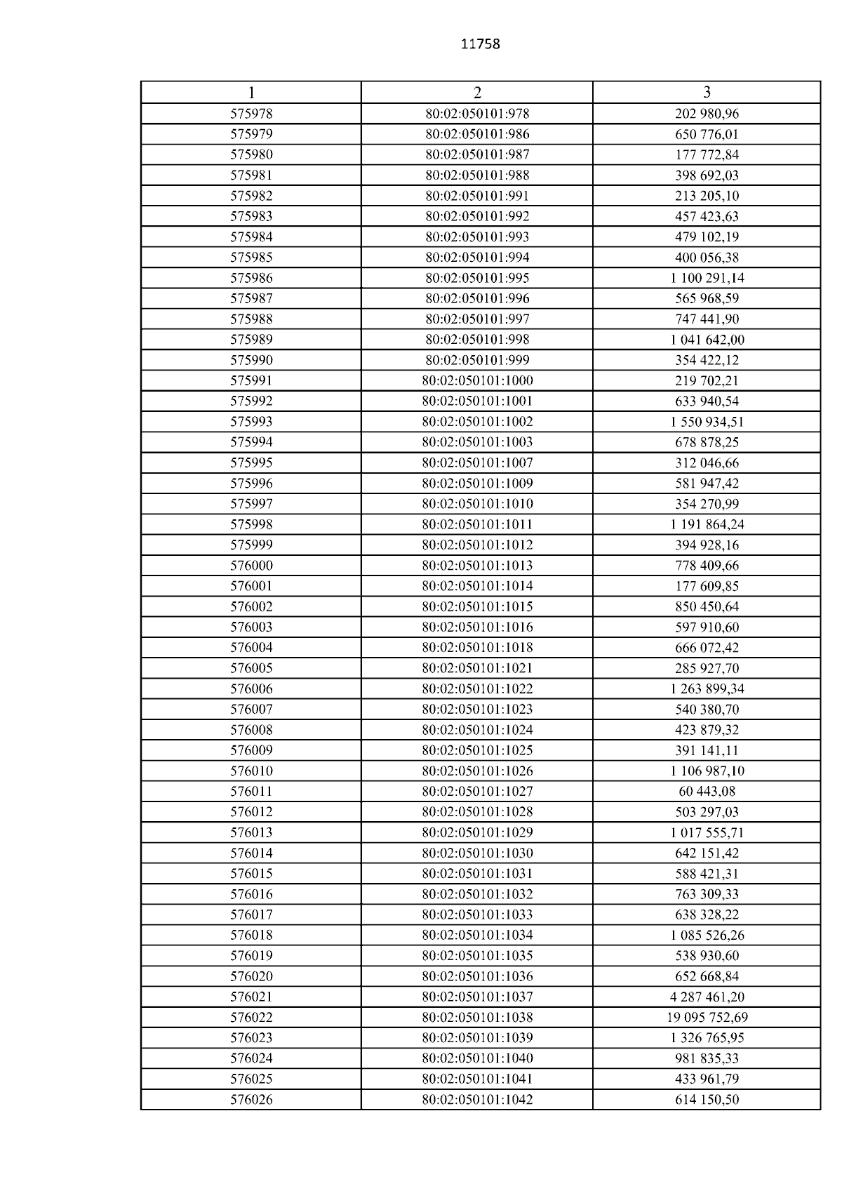
Приказ Департамента государственного имущества и земельных отношений Забайкальского края от 25.09.2023 № 31/НПА
"Об утверждении результатов определения кадастровой стоимости объектов капитального строительства: зданий, помещений, сооружений, объектов незавершенного строительства, машино – мест, расположенных на территории Забайкальского края"
(Зарегистрирован 25.09.2023 № 505-75-2023)
Номер опубликования: 7501202309270002
Дата опубликования: 27.09.2023
Страница №11758 из 11952:
Увеличить