Официальное опубликование правовых актов
ОФИЦИАЛЬНОЕ ОПУБЛИКОВАНИЕ
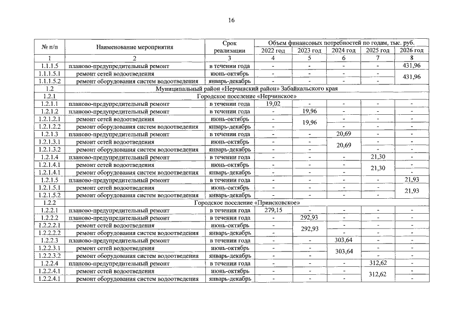
Приказ Региональной службы по тарифам и ценообразованию Забайкальского края от 18.11.2022 № 797-НПА
"О корректировке долгосрочных тарифов на питьевую воду (питьевое водоснабжение) и водоотведение для АО "ЗабТЭК", осуществляющего на территории Забайкальского края деятельность в сфере водоснабжения и водоотведения"
Номер опубликования: 7501202211240025
Дата опубликования: 24.11.2022
Страница №16 из 20:
Увеличить