Официальное опубликование правовых актов
ОФИЦИАЛЬНОЕ ОПУБЛИКОВАНИЕ
Приказ Министерства природных ресурсов Забайкальского края от 31.10.2022 № 78-н/п
"О внесении изменений в лесохозяйственный регламент Балейского лесничества, утвержденный приказом Министерства природных ресурсов Забайкальского края от 29 декабря 2018 года № 93-н/п (в редакции приказа Министерства природных ресурсов Забайкальского края от 11 ноября 2020 года № 46-н/п)"
Номер опубликования: 7501202211010038
Дата опубликования: 01.11.2022
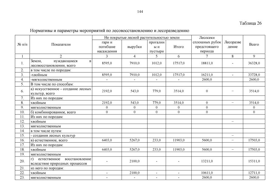
Страница №144 из 164:
Увеличить