Официальное опубликование правовых актов
ОФИЦИАЛЬНОЕ ОПУБЛИКОВАНИЕ
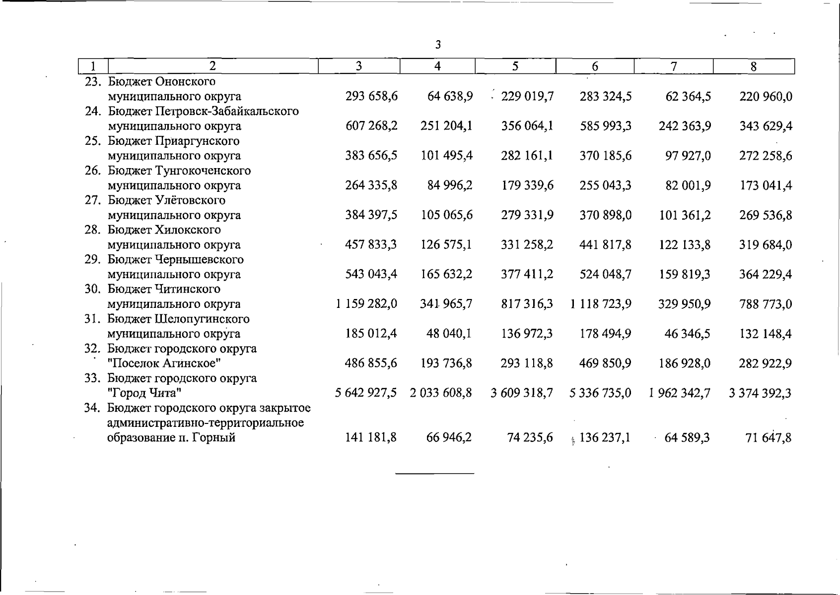
Закон Забайкальского края от 24.12.2025 № 2613-ЗЗК
"О бюджете Забайкальского края на 2026 год и плановый период 2027 и 2028 годов"
Номер опубликования: 7500202512290023
Дата опубликования: 29.12.2025
Страница №1070 из 1119:
Увеличить