Официальное опубликование правовых актов
ОФИЦИАЛЬНОЕ ОПУБЛИКОВАНИЕ
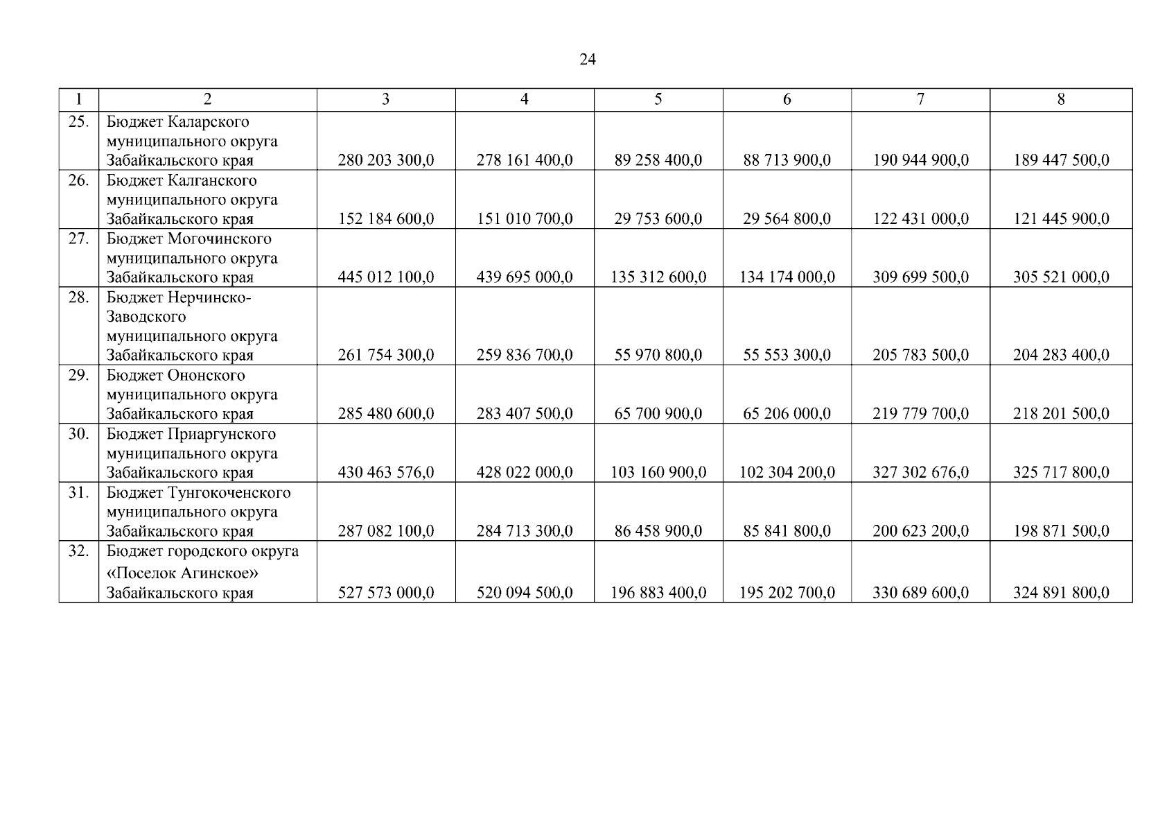
Постановление Правительства Забайкальского края от 20.09.2024 № 476
"О бюджетных ассигнованиях, направляемых на финансовое обеспечение отдельных мероприятий в 2024 году"
Номер опубликования: 7500202409200003
Дата опубликования: 20.09.2024
Страница №24 из 29:
Увеличить