Официальное опубликование правовых актов
ОФИЦИАЛЬНОЕ ОПУБЛИКОВАНИЕ
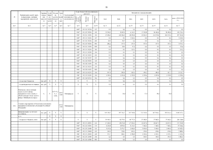
Постановление Правительства Забайкальского края от 04.10.2022 № 449
"О внесении изменений в государственную программу Забайкальского края "Развитие лесного хозяйства Забайкальского края"
Номер опубликования: 7500202210040001
Дата опубликования: 04.10.2022
Страница №70 из 101:
Увеличить