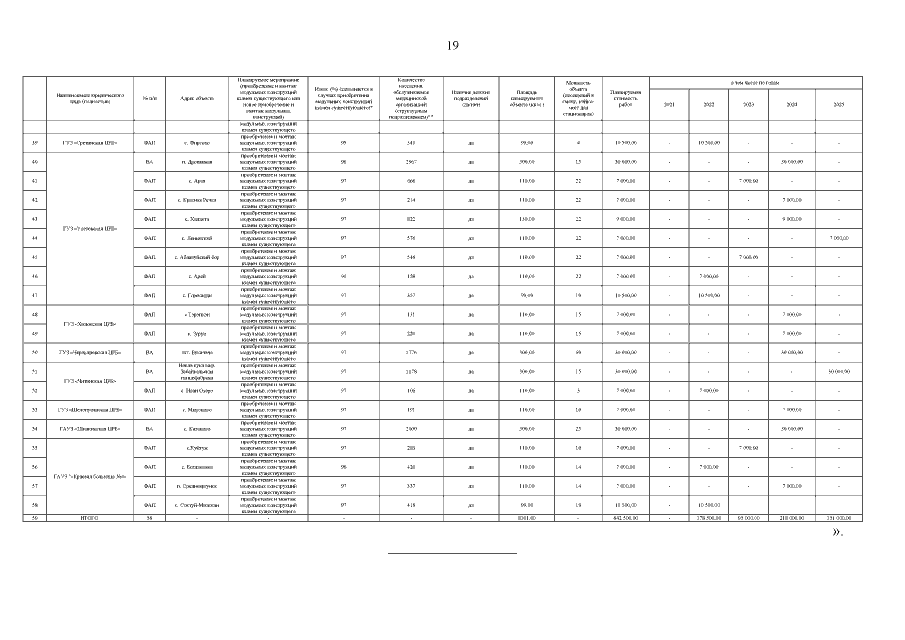
Постановление Правительства Забайкальского края от 21.09.2022 № 417
"О внесении изменений в региональную программу "Модернизация первичного звена здравоохранения в Забайкальском крае"
"О внесении изменений в региональную программу "Модернизация первичного звена здравоохранения в Забайкальском крае"
Номер опубликования: 7500202209210002
Дата опубликования:
21.09.2022
