Официальное опубликование правовых актов
ОФИЦИАЛЬНОЕ ОПУБЛИКОВАНИЕ
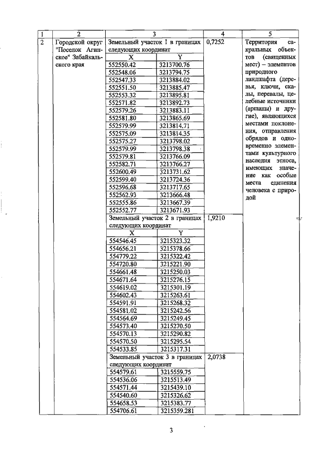
Закон Забайкальского края от 12.07.2021 № 1953-ЗЗК
"О внесении изменения в приложение к Закону Забайкальского края "Об определении территорий Забайкальского края, в границах которых земельные участки не могут быть предоставлены в безвозмездное пользование в соответствии с Федеральным законом "Об особенностях предоставления гражданам земельных участков, находящихся в государственной или муниципальной собственности и расположенных на территориях субъектов Российской Федерации, входящих в состав Дальневосточного федерального округа, и о внесении изменений в отдельные законодательные акты Российской Федерации"
Номер опубликования: 7500202107130001
Дата опубликования: 13.07.2021
Страница №3 из 45:
Увеличить