Официальное опубликование правовых актов
ОФИЦИАЛЬНОЕ ОПУБЛИКОВАНИЕ
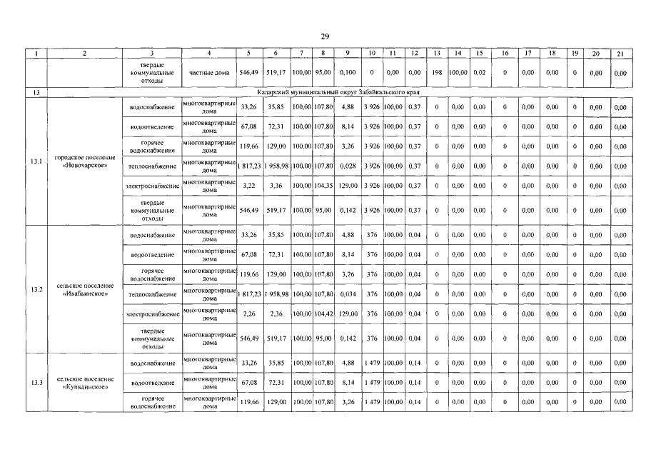
Постановление Губернатора Забайкальского края от 15.12.2020 № 164
"О предельных (максимальных) индексах изменения размера вносимой гражданами платы за коммунальные услуги в муниципальных образованиях Забайкальского края на 2021 год"
Номер опубликования: 7500202012170001
Дата опубликования: 17.12.2020
Страница №29 из 84:
Увеличить