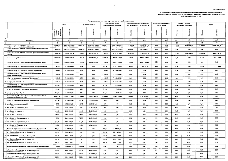
Постановление Правительства Забайкальского края от 27.01.2020 № 13
"О внесении изменений в Региональную адресную программу Забайкальского края по переселению граждан из аварийного жилищного фонда на 2013–2017 годы"
"О внесении изменений в Региональную адресную программу Забайкальского края по переселению граждан из аварийного жилищного фонда на 2013–2017 годы"
Номер опубликования: 7500202001280002
Дата опубликования:
28.01.2020
