Официальное опубликование правовых актов
ОФИЦИАЛЬНОЕ ОПУБЛИКОВАНИЕ
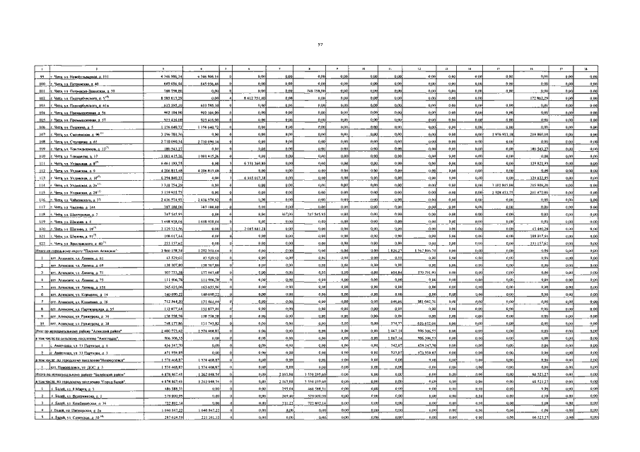
Постановление Правительства Забайкальского края от 30.12.2019 № 530
"О внесении изменений в Региональный краткосрочный план реализации Региональной программы капитального ремонта общего имущества в многоквартирных домах, расположенных на территории Забайкальского края, на 2016 год и период 2017-2019 годов"
Номер опубликования: 7500202001040011
Дата опубликования: 04.01.2020
Страница №57 из 69:
Увеличить