Официальное опубликование правовых актов
ОФИЦИАЛЬНОЕ ОПУБЛИКОВАНИЕ
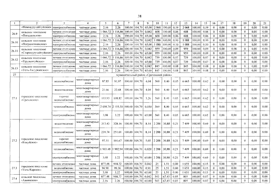
Постановление Губернатора Забайкальского края от 12.12.2019 № 58
"О предельных (максимальных) индексах изменения размера вносимой гражданами платы за коммунальные услуги в муниципальных образованиях Забайкальского края на 2020 год"
Номер опубликования: 7500201912120004
Дата опубликования: 12.12.2019
Страница №38 из 50:
Увеличить