Официальное опубликование правовых актов
ОФИЦИАЛЬНОЕ ОПУБЛИКОВАНИЕ
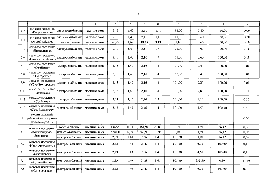
Постановление Губернатора Забайкальского края от 19.07.2019 № 40
"О внесении изменений в постановление Губернатора Забайкальского края от 7 декабря 2018 года № 62"
Номер опубликования: 7500201907250001
Дата опубликования: 25.07.2019
Страница №7 из 49:
Увеличить