Постановление Правительства Забайкальского края от 24.06.2019 № 264
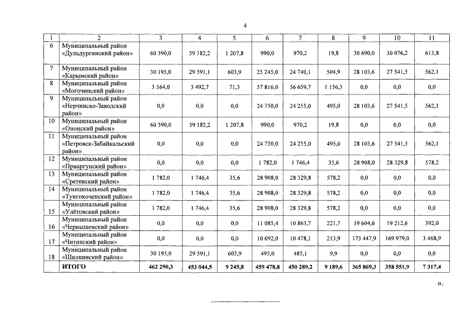
"О внесении изменений в приложение к постановлению Правительства Забайкальского края от 26 марта 2019 года № 87 "О распределении средств субсидий, выделяемых в 2019-2021 годах из бюджета Забайкальского края бюджетам муниципальных районов и городских округов Забайкальского края на создание дополнительных мест для детей в возрасте от 1,5 до 3 лет в образовательных организациях, осуществляющих образовательную деятельность по образовательным программам дошкольного образования"
"О внесении изменений в приложение к постановлению Правительства Забайкальского края от 26 марта 2019 года № 87 "О распределении средств субсидий, выделяемых в 2019-2021 годах из бюджета Забайкальского края бюджетам муниципальных районов и городских округов Забайкальского края на создание дополнительных мест для детей в возрасте от 1,5 до 3 лет в образовательных организациях, осуществляющих образовательную деятельность по образовательным программам дошкольного образования"
Номер опубликования: 7500201906280004
Дата опубликования:
28.06.2019
