Официальное опубликование правовых актов
ОФИЦИАЛЬНОЕ ОПУБЛИКОВАНИЕ
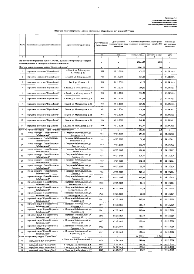
Постановление Правительства Забайкальского края от 11.04.2019 № 124
"Об утверждении Региональной адресной программы Забайкальского края по переселению граждан из аварийного жилищного фонда на 2019-2025 годы"
Номер опубликования: 7500201904170004
Дата опубликования: 17.04.2019
Страница №16 из 30:
Увеличить