Официальное опубликование правовых актов
ОФИЦИАЛЬНОЕ ОПУБЛИКОВАНИЕ
Постановление Правительства Забайкальского края от 22.03.2019 № 73
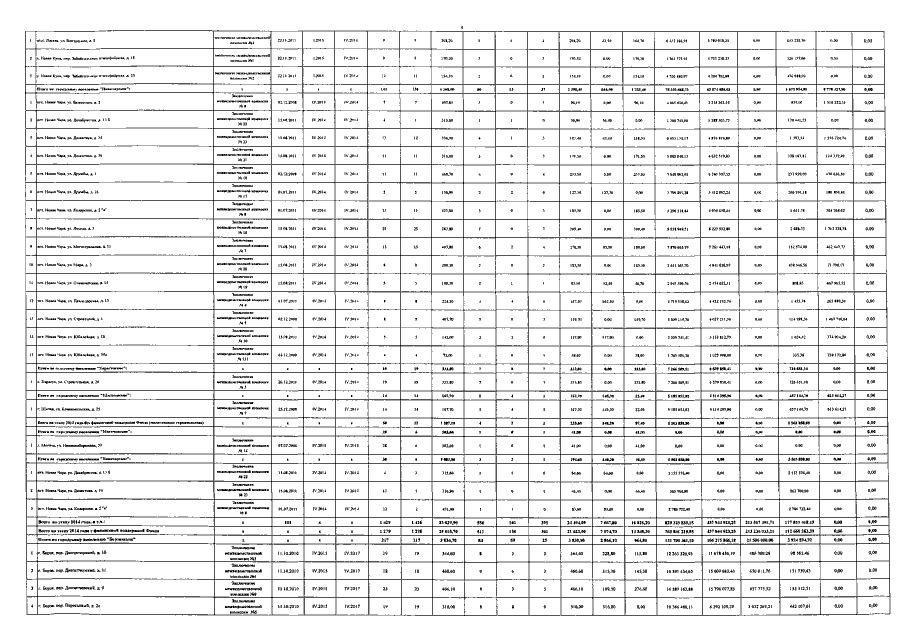
"О внесении изменений в постановление Правительства Забайкальского края от 31 декабря 2013 года № 606 "Об утверждении Региональной адресной программы Забайкальского края по переселению граждан из аварийного жилищного фонда на 2013 - 2017 годы"
Номер опубликования: 7500201903260001
Дата опубликования: 26.03.2019
Страница №8 из 35:
Увеличить