Официальное опубликование правовых актов
ОФИЦИАЛЬНОЕ ОПУБЛИКОВАНИЕ
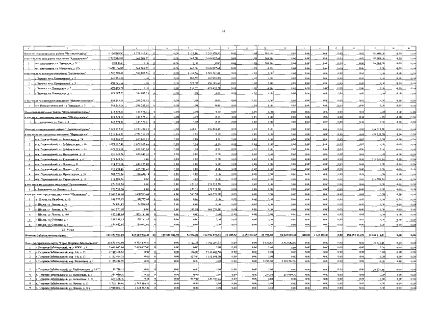
Постановление Правительства Забайкальского края от 28.12.2018 № 541
"О внесении изменений в Региональный краткосрочный план реализации Региональной программы капитального ремонта общего имущества в многоквартирных домах, расположенных на территории Забайкальского края, на 2016 год и период 2017-2019 годов"
Номер опубликования: 7500201812290008
Дата опубликования: 29.12.2018
Страница №67 из 76:
Увеличить