Официальное опубликование правовых актов
ОФИЦИАЛЬНОЕ ОПУБЛИКОВАНИЕ
Постановление Правительства Забайкальского края от 31.08.2018 № 363
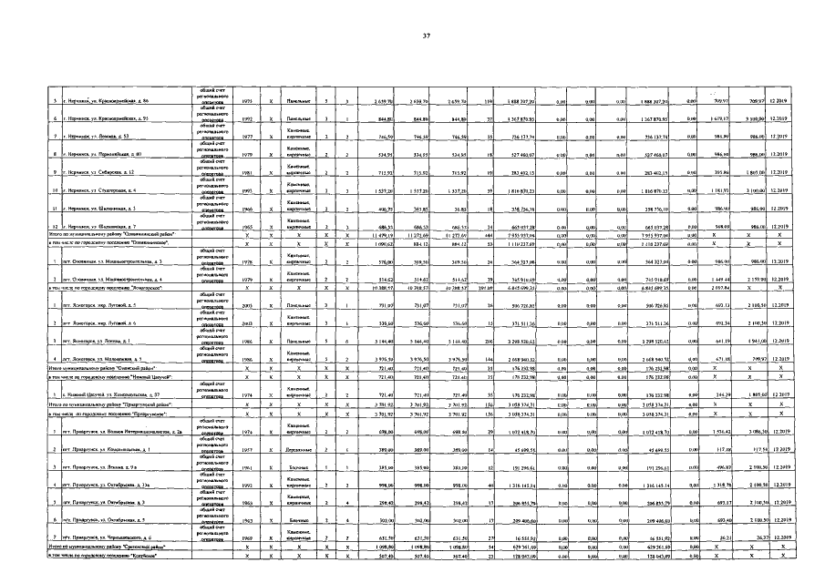
"О внесении изменений в постановление Правительства Забайкальского края от 28 марта 2016 года № 111 "Об утверждении Регионального краткосрочного плана реализации Региональной программы капитального ремонта общего имущества в многоквартирных домах, расположенных на территории Забайкальского края, на 2016-2018 годы"
Номер опубликования: 7500201809050001
Дата опубликования: 05.09.2018
Страница №37 из 67:
Увеличить