Официальное опубликование правовых актов
ОФИЦИАЛЬНОЕ ОПУБЛИКОВАНИЕ
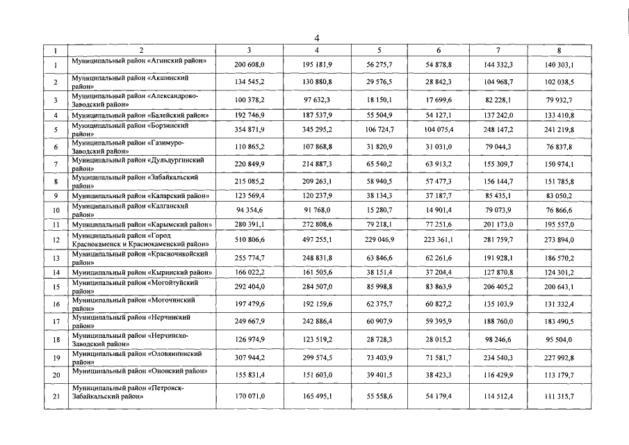
Постановление Правительства Забайкальского края от 28.06.2018 № 257
"О перераспределении средств краевого бюджета"
Номер опубликования: 7500201807060004
Дата опубликования: 06.07.2018
Страница №4 из 5:
Увеличить