Официальное опубликование правовых актов
ОФИЦИАЛЬНОЕ ОПУБЛИКОВАНИЕ
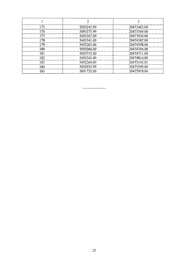
Закон Забайкальского края от 06.10.2017 № 1519-ЗЗК
"О внесении изменений в Закон Забайкальского края "О границах сельских и городских поселений Забайкальского края"
Номер опубликования: 7500201710090008
Дата опубликования: 09.10.2017
Страница №25 из 25:
Увеличить