Официальное опубликование правовых актов
ОФИЦИАЛЬНОЕ ОПУБЛИКОВАНИЕ
Постановление Правительства Забайкальского края от 31.05.2017 № 210
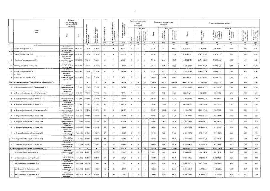
"О внесении изменений в Региональную адресную программу Забайкальского края по переселению граждан из аварийного жилищного фонда на 2013-2017 годы, утвержденную постановлением Правительства Забайкальского края от 31 декабря 2013 года № 606"
Номер опубликования: 7500201706060001
Дата опубликования: 06.06.2017
Страница №12 из 28:
Увеличить