Официальное опубликование правовых актов
ОФИЦИАЛЬНОЕ ОПУБЛИКОВАНИЕ
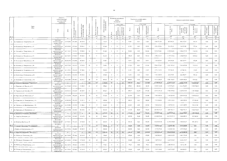
Постановление Правительства Забайкальского края от 10.05.2017 № 187
"О внесении изменений в Региональную адресную программу Забайкальского края по переселению граждан из аварийного жилищного фонда на 2013-2017 годы, утвержденную постановлением Правительства Забайкальского края от 31 декабря 2013 года № 606"
Номер опубликования: 7500201705170001
Дата опубликования: 17.05.2017
Страница №16 из 36:
Увеличить