Официальное опубликование правовых актов
ОФИЦИАЛЬНОЕ ОПУБЛИКОВАНИЕ
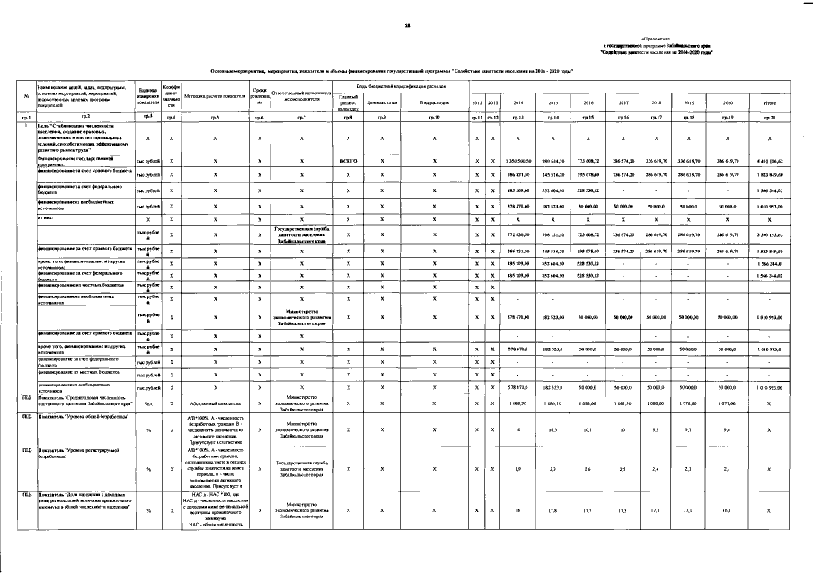
Постановление Правительства Забайкальского края от 27.05.2016 № 208
"О внесении изменений в государственную программу Забайкальского края "Содействие занятости населения на 2014–2020 годы", утвержденную постановлением Правительства Забайкальского края от 01 августа 2014 года № 457"
Номер опубликования: 7500201605310002
Дата опубликования: 31.05.2016
Страница №18 из 36:
Увеличить