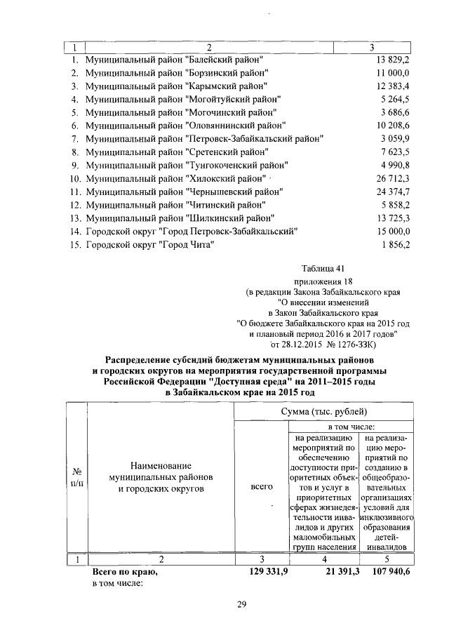
Закон Забайкальского края от 28.12.2015 № 1276-ЗЗК
"О внесении изменений в Закон Забайкальского края "О бюджете Забайкальского края на 2015 год и плановый период 2016 и 2017 годов"
"О внесении изменений в Закон Забайкальского края "О бюджете Забайкальского края на 2015 год и плановый период 2016 и 2017 годов"
Номер опубликования: 7500201512310008
Дата опубликования:
31.12.2015
